DeFi 课程(2024 版)学习笔记 ¶
约 7744 个字 59 张图片 预计阅读时间 26 分钟
本文是我 2024 年在 B 站学习梁培利老师的公开课程《DeFi 课程(2024 版
) 》时整理的学习笔记。课程以 Uniswap 为核心,系统梳理了 DeFi 领域的关键概念与协议原理,涵盖稳定币、去中心化交易所、借贷协议等主题。笔记中保留了课堂要点、案例分析以及我个人的一些补充说明,希望对同样在学习 DeFi 的朋友有所帮助。
📢 课程更新提示:该课程 2025 年已推出最新版——《Uniswap 专题:从 V1 到 V4
课程视频:https://space.bilibili.com/220951871/lists/2824381
课程幻灯片和讲义:https://github.com/liangpeili
第 1 课 - DeFi 课程简介 ¶
区块链应用的常见分类:
- DeFi:Uniswap/AAVE/Curve/DAI/Compound 等;
- GameFi:从 CryptoKitties 开始;
- SocialFi:nostr/Damus/friend.tech;
- 国内目前政策:去 Fi 留 block,服务实体经济;
CeFi 的主要组成机构与职能:
- 中央银行:发行法定货币;
- 商业银行:存款、结算、信贷等;
- 保险公司:风险转移与分散;
- 证券公司:证券买卖、交易,证券承销等;
- 银监会、证监会和保监会;
- 国家金融监督管理总局;
CeFi 的特点:
- 集中的账户管理;
- 交易审查与监控;
- 基于对机构的信任;
- 手续费作为主要利润来源;
- 不透明性 / 信息差;
穷人死于 P2P、中产死于理财,富人死于信托。
DeFi 能做什么:
- 全球支付;
- 交易;
- 理财;
- 借款;
- 贷款;
- 衍生品;
DeFi 的特点:
- 账号个人管理:Not your keys, not your coins;
- 无需许可;
- 开源可验证;
- 可编程性;
注意:目前国内并没有做纯 DeFi 的政策空间。
课程安排:
- 以 Uniswap 为核心,梳理 DeFi 领域的上下游产品及其原理;
- 从稳定币入手,逐步介绍去中心化交易所 Uniswap 的核心逻辑,进而扩展到其他领域 DeFi 产品(如借贷等)和算法;
- 理论课 24 学时 + 实验课 8 学时;
- 《区块链应用系统开发实践》32 学时;
梁老师的一个小野心:把这个课程做成中文圈里最好的。
第 2 课 - 稳定币:USDT/USDC/BUSD¶
货币的演化:
- 实物货币;
- 金属货币;
- 基于黄金等贵金属抵押的法定货币;
- 基于信用的法定货币;
- 电子货币;
- 数字货币?
通货膨胀有利于经济发展,而通货紧缩不利于。
稳定币:沟通赛博空间和现实世界的桥梁
- 加密货币的波动太大;
- 相比加密货币,人们更相信法币;
- 在加密货币世界,也需要价值锚定;
稳定币的类型:
- 基于法币锚定的稳定币:USDT/USDC/BUSD 等;
- 基于加密资产超额抵押的稳定币:DAI;
- 基于算法的稳定币(算法稳定币
) :UST/Frax 等;
基于法币抵押的稳定币 -- USDT
- 稳定币市值排名第一;
- 由 Tether 发行;
- 中心化管理;
There are five steps in the lifecycle of Tether tokens:
- 一个经过 KYC 认证的个人或机构可以充值法币到 Tether 公司持有的银行账户中;
- Tether 公司发行 USDT 到这个用户或公司提供的地址,Tether 公司转给用户的数量和用户充值给 Tether 公司银行账户的数量一样;
- 用户持有 USDT 就可以拿这个去参与链上产品,比如说存储、理财、交换等;
- 用户如果不想再持有 USDT 了,可以在 tether.to 上转回去;
- Tether 公司把法币从自己公司转到用户的银行账户上,并销毁链上对应数量的 USDT;
💡 Tether 公司将近 100 人,2023 年第四季度净利润近 200 亿人民币;同期的小米公司员工超过 3 万人,净利润近 49 亿人民币。
区块链公司跟互联网公司的区别:区块链公司不需要很多人,那它需要什么样的人?在这个行业待下去的收益是互联网的很多倍。


基于法币抵押的稳定币 -- USDC
- 稳定币市值排名第二;
- 由 Circle 管理和发行;
基于法币抵押的稳定币 -- BUSD
- Paxos 发行的美元稳定币;
- 受纽约金融服务局 NYDFS 的监管;
- 用了 Binance 的品牌;
- 可以 1:1 购买和赎回;
- 100% 的美元或者美元现金等价物支撑;
- 仅在以太坊发行;
- 2023 年 2 月份停止发行;
第 3 课 - 稳定币:DAI/AMPL¶
基于加密资产超额抵押的稳定币 -- DAI
- DAI 是 Maker Protocol 的主要产品;
- Maker Protocol 由 MakerDAO 管理;
- MKR 是 MakerDAO 的治理代币;



DAI 的供应量控制:
- 贷款利率:Stability Fee
- 存款利率:DAI Saving Rate(DSR)
- 如果 1 DAI = 0.99 USD,提高利率;
- 如果 1 DAI = 1.01 USD,降低利率;

MakerDAO 的员工数比 Tether 更少。
课后思考:研究 DAI 的盈利方式,为什么会有这么高的收入
案例分析
- 假设 1 ETH = 2000 USD,质押了 5 个 ETH 到 Maker Vault,按照 150% 的超额抵押率,最多可以借出 10000 / 150% = 6666.67 个 DAI。保险起见,用户借出 5000 DAI,其余 1666.67 为缓冲区。
- 情形 1:ETH 涨价到 3000 USD。此时 5 ETH = 15000 USD,基于 150% 的抵押率,用户最多可以借出 10000 DAI。
- 情形 2:ETH 跌到 1500 USD,此时 5 ETH = 7500 USD,7500 USD / 5000 DAI = 150%。用户面临三个选择:
- 往 Maker Vault 质押更多的 ETH;
- 还回 5000 DAI + Stability Fee,拿回 5 个 ETH;
- 还回部分 DAI + Stability Fee,增加自己的缓冲区;
DAI 的防护网之一 ——Collateral Auction
- 情形 3:ETH 跌到 1200 USD,此时 5 ETH = 6000 USD,触发清算,Keeper 介入清算流程;
- 5 个 ETH 按照市价折扣 3% 进行拍卖,每次增加 0.5%,直到拍卖成功;
- Keeper 使用 DAI 来竞拍,价高者得;
- 扣除 5000 DAI + Penalty Fee 等费用,其余 ETH 返回给用户;
DAI 的防护网之二——Maker Buffer
- Stability Fee / Penalty Fee 等缓慢积攒;
- 情形 4:ETH 跌到 900 USD,此时 5 ETH = 4500 USD,拍卖后的缺口为 500 USD;
- 从 Maker Buffer 支付 500 DAI,弥补缺口;
DAI 的防护网之三——Debt Auction
- 情形 5:ETH 跌到 900 USD,此时 5 ETH = 4500 USD,拍卖后的缺口为 500 USD,而 Maker Buffer 里只有 100 DAI,资金缺口为 400 USD。
- 增发 MKR 进行拍卖;
- 用户使用 DAI 参与拍卖,拍卖得到的 DAI 来弥补缺口;
- 这是一种对社区治理的惩罚方式;
增发 MKR 使得币的价值被稀释。
Decentralized Autonomous Organization (DAO)
- 一种新型的组织形式
- 发行治理 Token
- 治理 Token 代表投票权
- 社区共治、共建、共享
MakerDAO 的运行机制
-
提案阶段
-
- 发起提案:任何 MKR 持有人都可以发起新提案;
-
- 在 MakerDAO 社区讨论;
-
- 提交优化后的提案;
-
- Risk Team 对其进行风险评估;
-
-
投票阶段
- 一个 MKR Token 表示一个投票权,可以代理;
- 投票期一般持续 7 天;
- 根据投票结果决定是否通过
; (4% 同意)
Surplus Auction
- Maker Buffer Limit
- 超出限制后的 DAI 用来拍卖购买 MKR
- 销毁 MKR
- 一种社区治理的奖励方式
用户参与一些协议的质押,可以用来加杠杆,例如有 1 ETH,借出来一些币拿来买 ETH,再把买来的 ETH 放进去借钱,依次重复。
💡 在学习一种新的协议时,都要思考一个问题:为什么别人愿意来参与你的协议?

总结:
- 稳定币诞生的原因;
- 稳定币的类型:USDT/USDC/BUSD/DAI/AMPL;
- USDT 的中心性;
- DAI 的运行原理;
- Maker Protocol 中的清算;
- AMPL 的运行原理;
第 4 课 - ERC4626 ¶
Vault
- 资产的管理、分红
- 用户充值某项资产,获取某个凭证
- 该凭证作为分红、退出的依据
- Yield Farming / 借贷 / 质押等
https://eips.ethereum.org/EIPS/eip-4626
💡 建议研究 ERC20 提案的原始内容。
EIP 从想法到落地的流程:
- 产生一个想法;
- 提出 Proposal;
- 讨论通过后正式成为标准;
- 第三方库(例如 OpenZeppelin)根据这个标准去实现;
- 开发者使用。
第 5 课 - ERC4626(二)¶
本节课简略过了一遍 ERC4626 的实现细节,此处省略。
第 6 & 7 课 - 去中心化交易所 ¶
DeFi 领域的三大支柱:稳定币、交易所、借贷。
交易所:
- 证券交易所
- 期货交易所
-
加密资产交易所
- 中心化交易所
- 去中心化交易所
2017 年 9 月 4 日,七部门联合发布《关于防范代币发行融资风险的公告
从 2020 年开始有 DEX 这个赛道。
中心化交易所的业务模式——以币安为例
- 交易费:交易所通过提供买卖加密货币的平台来收取交易费用。有些交易所还提供高级交易选项,如杠杆交易,这通常会带来更高的费用;
- 上币费:项目方团队后面都会去找交易所上币,然而上币需要缴纳一笔数额不小的上币费;
- 量化交易:用户在交易所中,一般数字资产都是暂时存放在交易所,基本上交易所掌握所有筹码可以选择做多或者做空,交易所可以去赚取差价,而用户提币出去也能赚取手续费;
- 原生代币;
💡 梁老师举了个例子:自己了解到的一个项目,2017 年左右为了上前三的交易所,上币费为 1100 万人民币(购买交易所发行的原生代币,参与投票竞选
) 。项目方安全审计要花钱,上交易所也要花钱,而且还得通过内部关系,熟人才行。交易所特别赚钱。

中心化交易所的交易模式——订单簿模式
- 中央限价订单簿(CLOB)就是一本由出价和报价组成的完全透明账本,从最优价开始依次排序(两边分别是参与者愿意买 / 卖的价格
) 。 - 所有的参与者都能看到所有的报价和出价,他们也可以参与其中。
- 订单簿中两边的第一行,即是最优的报价 / 出价。
订单簿模式的优劣
优势:
- 透明的流动性
- 做市商可自由出入
- 做市商可以自由决定价格与数量
劣势:
- 冷启动问题(很难给出初始流动性)
- 对非流动性资产不利
- 如果是链上交易所,则对链的 TPS 的要求很高
交易所刚开始的时候需要很大的资金量,用户玩的顺畅,才会吸引更多用户过来。
早期去中心化交易所使用订单簿的模式,但由于链上 TPS 太低,没有发展起来。

链上交易方案:自动做市商
- 出现原因:以太坊的 TPS 对于支撑链上订单簿的实时更新来说太低了。反面案例:Solana 链由于其 60K 的 TPS,其上有许多订单簿模式的交易所。
- 交易所里没有订单簿,只有一系列预设的函数,为各类货币的互相交换来定价。
- 这些预设的函数(例如 x*y=k)基于两种货币在各自流动性池中的供给变化率来设定价格。在某个货币的流动性池内,任何人都能够提供该种货币以增加其流动性,从而获得收益。

两个代币数量的乘积等于一个常量。
Vault:放一些币进去,返回一个 share,表示放进去的凭证。
用户将流动性放到一个交易池里,交易池会给用户发行一个新的 Token,叫 Liquidity Provider Token(LPT
只要有价差,就有套利空间,就会被套利机器人吃掉。


DEX 的去中心化:
- 任何人都可以添加流动性,成为 LP,并拿到 LP Token;
- LP 在任意时间可以移除流动性并销毁 LP Token,拿回自己添加的 Token;
- 用户可以使用非官方的前端页面来进行交易;
- 交易时收取一定手续费,并且分配给 LPT Holder;
提供 LP 可能亏损,需要承担无常损失的风险。
自动化做市模式的优劣:
-
优势:
- 对于新的代币,可以很方便地冷启动
- 去中心化
- 代币交换可组合性很高
-
劣势:
- 所有价格点的统一流动性(在 Uniswap V3 中已解决)
- 滑点频繁
- 波动性大,经常有很大的无常损失(流动性提供者在平均表现上是盈利的)

需要理解的是,如何基于 x*y=k 这个公式来完成添加流动性、Swap、移除流动性这三个操作以及里面的一些计算细节。写一个 CPAMM 合约,Token 如何提供,提供 Token 之后如何把 share 返回给用户,具体怎么计算,swap 是怎么算的,移除流动性是怎么算的。
添加流动性会不会影响价格?



我们希望流动性的体现和添加的数量成一个线性关系。




如果池子很浅,就会产生很高的滑点。
ChatGPT 补充:为什么需要链上自动做市商?¶
在中心化交易所(Binance、Coinbase 等)中使用订单簿模式,这种模式需要:
- 高频订单更新:买方和卖方不断地挂出买入和卖出订单;
- 强大的撮合引擎:一个高速、中心化的服务器来实时匹配这些买单和卖单;
- 做市商:专业的机构或个人提供流动性,通过不断报价来缩小买卖价差,让市场更高效;
如果直接把订单簿搬到区块链上(即链上订单簿
(1)性能瓶颈与高昂成本:区块链(尤其是早期的以太坊)速度慢、吞吐量低,每一笔挂单、撤单、匹配交易都需要支付 Gas 费,并需要全网节点确认。订单簿需要不断地挂单、撤单、修改订单、撮合交易,每一笔交易都需要支付 Gas 费,一旦网络拥堵,Gas 费飙升;
(2)区块链延迟高:中心化交易所的撮合延迟是微秒级,而链上的交易延迟远无法达到 CEX 水平,高延迟 + 无法实时撮合 → 订单深度会变得非常差;
(3)链上订单簿易被 MEV 抢跑:链上订单簿的订单都是公开的,MEV bot 可以看到你的订单并直接抢跑,导致用户持续受到损失,这会让订单簿体验极差;
(4)小型长尾代币没有做市商:在中心化交易中,专业做市商负责挂买单 / 卖单维持深度,依赖于高频交易和复杂的算法。链上操作成本高,没有人会主动给新代币挂单做深度,导致深度差、滑点巨大、无法交易,无法实现 " 人人可发币 " 的去中心化生态。
直接将传统金融的订单簿模式复制到区块链上,在技术和经济上都是不可行的。因此,我们需要一个全新的、为区块链原生设计的交易模式。
AMM 的理念非常简单但革命性:让流动性池(Liquidity Pool)自动报价,无需订单簿或做市商。
例如 Uniswap 的 x*y=k 模型:
- 用户把 Token A 和 Token B 存进池子
- 池子用公式自动给出价格
- 和池子交易即可,不需要对手盘
AMM 本质上:
- 用算法提供流动性
- 用代币池子替代订单簿
- 用 LP(流动性提供者)替代专业做市商
第 8 课 - Uniswap 简介 ¶

On Path Independence:https://vitalik.eth.limo/general/2017/06/22/marketmakers.html
A Short History of Uniswap:https://blog.uniswap.org/uniswap-history
Uniswap Whitepaper V1:https://hackmd.io/@HaydenAdams/HJ9jLsfTz
Uniswap V1:
- 2018 年 11 月 2 日发布;
- 使用 Vyper 语言编写;
- 仅支持 ERC20-ETH 直接互换或者通过 ETH 进行互换(Chained-swap
) ; - 合约地址:https://github.com/Uniswap/v1-contracts/tree/master/contracts

Vitalik 的 "On Path Independence" 是 2017 年 6 月份发表的,2018 年 11 月才有人正式地用五六百行代码把文章的主要思想实现出来。现在觉得很简单,但回头看的话,也不太容易。好比万有引力公式,现在看很简单,但前人发现这个公式用了几百年。
Uniswap v2 Overview:https://blog.uniswap.org/uniswap-v2【March 23, 2020】
Uniswap V2:
- 2020 年 5 月发布;
- 增加 ERC20 - ERC20 直接互换;
- 增加 Flash Swap;
- 增加 Oracle;
- 改进手续费收取方式;
- 引爆了 DeFi 赛道;
- 2020 年 9 月,发行治理代币 UNI;
2020 年 5 月份 Uniswap V2 发布,引爆了 DeFi 赛道。
Sushi 克隆 Uniswap 源码,Yield Farming,吸血攻击,导致 Uniswap 空投 UNI。
💡 区块链圈,不要光关注技术和产品逻辑,仅仅只是八卦就可以发现很多素材,每一个新闻背后都有故事。
Uniswap V2 的核心合约
-
Uniswap V2 Core
- UniswapV2Pair.sol
- UniswapV2Factory.sol
-
Uniswap V2 Periphery
- Router contract
- Library contract
Uniswap vs SushiSwap
- 2020 年 8 月 28 日,SushiSwap 发布;
- SushiSwap fork 了 Uniswap,并且做了一些改进;
- SushiSwap 增加了奖励系统,从 Uniswap 吸引走许多流动性;
- 作为回击,2020 年 9 月 Uniswap 宣布发行 UNI 作为治理代币;
Introducing Uniswap v3:https://blog.uniswap.org/uniswap-v3【March 23, 2021】
Uniswap V3
- 2021 年 3 月,Uniswap V3 发布;
-
主要特性:
- 增加集中流动性;
- 优化手续费设置;
- LPT 改成基于 NFT 的 Liquidity Token;
- 改进开源协议;
V2 的流动性没有集中,任何价格都覆盖,但其实一个 Token 的波动通常只局限于一个范围,在范围之外做流动性是浪费的。
V2 中添加流动性获得的 share 是 ERC20 版本,在 V3 中是 NFT。有了集中流动性后,每个人添加的价格范围可能不一样,例如 A 添加 ETH 流动性的区间是 2800~3200$,而 B 是 3600~4000$。
V2 源码被克隆抄袭,V3 源码协议不允许克隆商用,有效期 2 年。
Our Vision for Uniswap v4:https://blog.uniswap.org/uniswap-v4【June 13, 2023】
【补充】UNIfication:https://blog.uniswap.org/unification【November 10, 2025】
Uniswap V4
- 2023 年 6 月 23 日发布代码草案;
-
新增主要特性:
- Hook
- Singleton Pool Manager Design
- Reintroduction of Native ETH
- Flash Accounting
-
目标:更快、更省 Gas Fee,容易集成;成为 DeFi 领域的基础设施;
Hook 的应用举例:在每一次 swap 前验证 KYC;像股票交易所一样设置交易时间限制(节假日、周末停盘
在 V2 中只支持 ERC20 之间的转换,ETH 与其他 ERC20 Token 的转换都需要先换成 WETH(即 ETH 的 ERC20 版本
DeFi 领域有很多东西可以像搭积木一样叠加,把别人做好的东西作为自己应用的一个模块。Uniswap V4 就想往这方面发展,成为 DeFi 领域的基础设施。
Pancakeswap 是 BSC 上最大的 DEX。
Uniswap VS Binance
- 无须实名认证
- 代码开源
- 上币不收费
- 用户自己管理资金,不用托管到交易所
- 社区治理
Not your keys, not your coins.
第 9 课 - Uniswap V2 的手续费计算 ¶
Uniswap V2 Whitepaper:https://uniswap.org/whitepaper.pdf
在 Uniswap V1 中,每一笔交易就扣一个手续费。
💡 梁老师提到白皮书中的 Chapter 2.4 节有点难理解。
通过增发 share 的方式把手续费给项目方

通过使 \(S_1\) 增值的方式把手续费给 LP

项目方想分走手续费里的一定比例


| 方式 | 谁拿走 swap 产生的价值增加? | share 是否增发? | Uniswap 是否采用? |
|---|---|---|---|
| 1. 增发 share → 给项目方 | 项目方拿手续费(protocol fee) | 是,mint LPT | ✔(V2 feeTo 模式) |
| 2. S₁ 增值 → 给 LP | 全部手续费给 LP | 否 | ✔(默认无 protocol fee) |
| 3. 抽走 φ 比例 | φ 给项目方,1−φ 给 LP | 是 | ✔(V2 支持 φ = 1/6) |
三者是同一套数学,用不同视角表达。
参考资料:How Uniswap V2 computes the mintFee
💡 收取手续费不是在 swap 时收,而是在添加和移除流动性时收,带来 shares 总量的 mint 或者 burn。
第 10 课 - Uniswap V2 里的 TWAP ¶
本节课程包含较多代码演示。
Uniswap V2 链上价格预言机
【GPT-4o】TWAP(Time-Weighted Average Price,时间加权平均价格)是 Uniswap V2 中引入的一种机制,为了解决去中心化交易所中瞬时价格易受操纵的安全隐患,通过时间加权平均价格来提供更稳定的价格数据。它大大降低了短期价格操纵的风险,并为 DeFi 协议提供了一个更加可靠的价格预言机。
(1) 为什么要引入 TWAP?
在去中心化交易所(如 Uniswap)上,瞬时价格是由流动性池中代币的供需关系决定的。因此,在没有 TWAP 之前,这种瞬时价格可以在短时间内被操纵者影响,使得 DeFi 协议在依赖 Uniswap 的价格预言机时存在安全隐患。
例如,如果某个协议基于 Uniswap 上的即时价格来清算借款或执行套利交易,那么攻击者可能通过一个短暂的、大规模的交易瞬间改变池中的价格,从而使协议误以为价格发生了大幅波动,这种攻击被称为 " 闪电贷价格操纵攻击 "(flash loan price manipulation
为了防止这种问题,Uniswap V2 引入了 TWAP 机制,通过计算一个时间段内的平均价格来提供更可靠的价格信息。这样,协议可以依赖这个平均价格,而不是瞬时的市场价格,从而大大减少了短时间内价格波动带来的风险。
(2) TWAP 工作原理
Uniswap V2 的 TWAP 是基于累积价格的机制来实现的。每个交易对的价格会在每个区块内更新一次,这个价格基于池中的代币数量(X 和 Y)的比值。
具体来说,Uniswap V2 追踪两个代币对之间价格的累积值:
- 每个区块结束时,Uniswap 会记录当前的价格乘以自上次更新以来经过的时间,并将其累积。
- 累积价格随着每个区块不断增长,因此计算价格的时间越长,累积的价格值就越大。
为了计算某一时间段的平均价格(即 TWAP
- 记录开始时间的累积价格。
- 记录结束时间的累积价格。
- 用结束时间的累积价格减去开始时间的累积价格,然后除以时间差(区块数
) ,得出这段时间内的平均价格。
通过这种方式,Uniswap V2 让用户能够基于区块链的历史数据计算任意时间段的加权平均价格,而不是依赖瞬时价格。
示例:假设某个交易对是 ETH/DAI,我们想要在过去 6 小时内计算 ETH 的时间加权平均价格。假设每个区块的平均出块时间为 15 秒,因此 6 小时大约包含 1440 个区块。
- 在区块高度
N处,我们记录下 ETH/DAI 的累积价格P1。 - 6 小时后,在区块高度
N + 1440处,我们记录下新的累积价格P2。 - TWAP 的计算公式为:\(TWAP = \frac{P2 - P1}{1440}\)
这个结果就是过去 6 小时内 ETH/DAI 的时间加权平均价格。
(3) 可能导致的问题
- 延迟性:TWAP 是一个历史价格的平均值,因此它无法快速反映出市场的瞬时变化。在价格剧烈波动时(如市场突然崩盘或大幅上涨
) ,TWAP 可能无法提供及时的市场价格。这意味着依赖 TWAP 的协议可能在极端情况下做出错误决策,因为价格滞后。 - 计算复杂度:对于较长时间的 TWAP 计算,尤其是当需要跨越多个区块时,可能需要读取大量的链上数据,增加了计算成本。这对于高频交易或依赖频繁价格更新的协议来说,可能并不适用。
- 攻击可能性:虽然 TWAP 解决了短期内的价格操纵问题,但攻击者仍可能通过长时间的资金操控影响 TWAP。例如,攻击者可以在多个区块内不断调整池中的代币数量,影响累积价格,从而逐步改变 TWAP 值。这种攻击需要更大的资本和更长的时间,但并不是不可能。
- 价格操控的潜在窗口:TWAP 虽然能防止单个瞬间的价格操控,但在一定时间窗口内,攻击者仍有可能影响价格。例如,如果攻击者知道某个协议将在未来某个时间点依赖 TWAP 进行结算或清算操作,他们可以在 TWAP 计算的关键时间窗口内影响价格,造成一定时间段内的价格偏差,从而实现利益最大化。



https://github.com/Uniswap/v2-core/blob/master/contracts/UniswapV2Pair.sol

💡 Uniswap V2 是使用 Solidity 0.6.6 版本编写的。
Uniswap 中没有实现上面计算 "\(T_k\) -> \(T_n\) 的 AP" 公式中的分母部分,因为不可能记住过去所有时间的 price(每次更新都需要花 Gas,Uniswap 不会去记录这个事情
(课堂代码演示部分省略)v2-twap.sol 大概 90 行代码,TokenA.sol、TokenB.sol
【课程实验】TWAP 实验:自己部署 Uniswap V2 合约,实现 TWAP。
💡 Fixed Point 是 Uniswap 自己独创的一个数据类型,UQ112.112 格式。
分别部署 TokenA、TokenB,各自发行 1e26 个,通过 UniswapV2Router02.sol 合约操作。
第 11 课 - Uniswap 里的 Flash Swap ¶

💡 Flash Swap 是 DeFi 才有的东西,传统金融没有这类机制。
【GPT-4o】Flash Swap 允许用户 " 先借代币再付款 ",而这笔付款只在交易的最后时刻进行。如果用户无法偿还借出的代币,那么交易将回滚,之前发生的所有操作都将被撤销。
核心代码位于 https://github.com/Uniswap/v2-core/blob/master/contracts/UniswapV2Pair.sol 合约的 swap() 函数。
课堂演示的 FlashSwap.sol:https://github.com/liangpeili/defi-2024/tree/main/Flash_swap
课外阅读:Flash Loans and how to hack them: a walk through of ERC 3156
Flash Loan 和 Flash Swap 本质上是一回事(在一笔交易里完成借和还
第 12 课 - Uniswap V2 的无常损失计算 ¶



做 LP,无论 Token 是涨价还是降价都会导致资产比不做 LP 要少一些,这个就叫无常损失(Impermanent Loss



Ivan Kuznetsov《Programming DeFi: Uniswap V2》 系列教程:
https://jeiwan.net/posts/programming-defi-uniswapv2-1/
https://jeiwan.net/posts/programming-defi-uniswapv2-2/
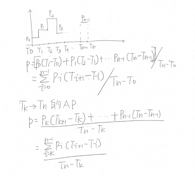
第 13 课 - Staking Reward 原理及实现 ¶
这堂课质量很高,需要用心去理解。

项目方设定好时间周期以及奖励总量。




如果有一万个用户,用智能合约来表示之后,不可能每秒钟更新一次余额。质押和解除质押操作都不是高频操作,关键在于能否写成时间复杂度为线性的智能合约算法。

某个时间段内,单位 Token 质押得到的奖励——即 Reward Per Token。
用户 u 从第 k 到 n 秒之间得到的奖励 = 质押的数量 ×(单位数量从 0 到 n 的奖励 - 单位数量从 0 到 k 的奖励)

能否化简 rn?


对整个项目来说,只需要记录几个值就行了。

图片来源:Staking Rewards - Math, Examples and Algorithm | DeFi
推荐 Youtuber @smartcontractprogrammer 的 DeFi 系列视频,是很赞的一个英文视频讲解系列。
计算 r(B, 5, 11) 和 r(C, 6, 13)

StakingReward.sol 代码演示(约一百来行代码
第 14 课 - Uniswap V3 简介 ¶
Uniswap V3 白皮书:https://app.uniswap.org/whitepaper-v3.pdf
Introducing Uniswap v3:https://blog.uniswap.org/uniswap-v3【March 23, 2021】
2021 年 5 月,Uniswap V3 发布,主要特性:
- 增加集中流动性
- 优化手续费设置
- TWAP 优化
- 改进开源协议
V3 开源许可证要求的两年代码保护期在 2023 年到期了。
Uniswap V2 资金利用效率低,做 LP 风险很大。
如果代币价格剧烈波动,用户承受无常损失的风险较大,所以对于波动剧烈的 Token 来说,应该收取更高的手续费来弥补 LP 的损失。
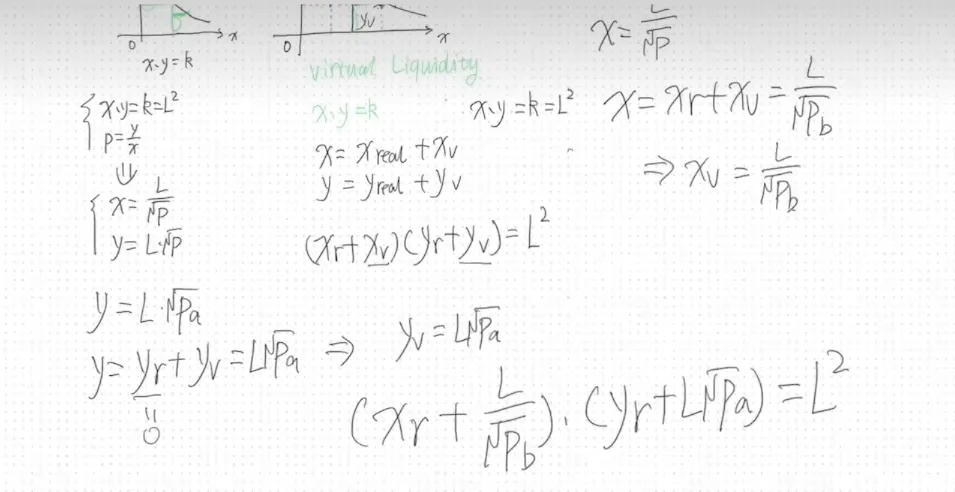
V3 的核心改进:在某个价格范围之内去做流动性。

Uniswap 查看流动性地址:https://app.uniswap.org/explore/pools
Uniswap V3 因为有集中流动性的引入,每个用户可以选择在自己认可的一个价格区间去做流动性,最后综合的结果就如下所示:

很多用户认为以太坊还会再涨,所以就提前到未来这个价格区间内去做流动性。用户做流动性被交易使用到了才能赚手续费。
思考问题:
(1)在 ETH 价格高的位置埋伏了一个单子,只需要提供 ETH,为什么?
(2)在 ETH 价格低的位置埋伏了一个单子,只需要提供 USDT,为什么?
(3)Uniswap V3 因为提供了 Range Order 订单,用户可以把它作为限价订单去使用,怎么理解?
Uniswap V3 可以在同一个 Pool 中提供多个价格范围之内的流动性。


手续费的收取:
- 针对不同的交易对,设置不同的梯度
- 0.01%, 0.05%, 0.30% 和 1.00%
- 管理费可以收取手续费的 10%-25%
https://docs.uniswap.org/concepts/protocol/range-orders
【GPT-4o 补充】
区间订单(Range Orders)是 Uniswap V3 中的一种新型交易方式,允许流动性提供者(LP)通过在特定价格区间内提供流动性来实现类似限价单(Limit Order)的效果。
传统的限价单 vs 区间订单:
- 传统限价单:比如你想以某个特定的价格买入或卖出某个资产,你设置一个限价单,当市场价格达到你的限价时,交易会自动完成。
- Uniswap V3 的区间订单:用户将待交易资产设置在特定的价格区间内,当市场价格达到该区间时自动完成交换,类似限价单的效果。而且 Uniswap V3 的区间订单不需要等待另一方来下单交易,而是直接与流动性池(AMM)进行交易。
Uniswap V3 通过引入区间订单和集中流动性,使得用户能够像在传统交易所中设置限价单一样,实现特定价格区间内的资产交易。
第 15 课 - Uniswap V3 的集中流动性 ¶
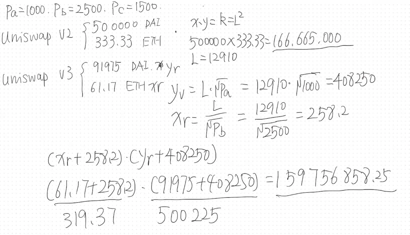
实际上只需要提供 x_real 和 y_real 的两个 Token,就可以维持价格 Pc 在 Pa 和 Pb 之间波动。
虚拟流动性:限定范围后,通过提供更少的 LP,就可以达到在 Uniswap V2 里面更多的 LP 的效果。



Uniswap V3 的模拟器:可以模拟不同的价格流动性、不同价格范围,和 V2 进行对比。
https://www.desmos.com/calculator/6si0vmgwhc?lang=zh-CN



第 16 课 - Uniswap V3 的流动性计算 ¶

第 17 课 - Uniswap V3 的无常损失计算 ¶
(本节笔记待补充)
第 18 课 - Uniswap V4 简介 ¶
(本节笔记待补充)
第 19 课 - 去中心化借贷 ¶
(本节笔记待补充)